15/02/2026
Un análisis económico marxista del desempleo en la Generación Z
Por Eric Huang

Como la automatización a través IA creó un ejercito de reserva laboral de veinteañeros.
Si toda la clase del trabajador asalariado fuese aniquilada por la maquinaria, ¡qué terrible sería para el capital, que sin trabajo asalariado deja de ser capital!
- Karl Marx, “Trabajo asalariado y capital”, 1847
Entre los recién graduados de la generación Z, la palabra «trabajo» se ha convertido en una especie de “mala palabra”. En noviembre de 2025 la tasa de desempleo para los estadounidenses de entre 16 y 24 años fue del 10,6%, más del doble de la tasa nacional, que se encontraba en 4,6%. Para ponerlo en perspectiva, la tasa en febrero de 2021 era del 10,9 (1). Por ende, los estadounidenses de la generación Z que se incorporan al mercado laboral apenas tienen mejores resultados que el mismo grupo en el auge de la pandemia.
¿Yo? Me recibí la primavera pasada. Después de pasar meses buscando desesperadamente, tuve la suerte de que me ofrecieran dos puestos como asistente legal. Pero una de las ofertas expiró, por lo que realmente solo tuve una. Conozco varios graduados que todavía siguen buscando.
¿A qué se debe todo esto? Como muchos fenómenos económicos, es complicado, pero el culpable más claro es la IA. En los Estados Unidos la oferta laboral para principiantes disminuyó un 35% desde febrero de 2023, pocos meses después del lanzamiento de ChatGPT (2). Los sistemas de inteligencia artificial están absorbiendo los puestos «junior» de desarrollo de software, la atención al cliente y los puestos administrativos subalternos, tradicionalmente reservados para jóvenes graduados. La programación, el data entry y la administración de correo electrónico que usualmente realizaba un asistente legal ahora puede ser automatizado. Incluso los estudiantes de informática, a quienes se les prometieron abundantes oportunidades después de la universidad, tienen dificultades para insertarse en el mercado debido a las mismas herramientas de IA que usaban para sus trabajos en la universidad. Recuerdo haber visto algunos reels de Instagram sobre esto.
Este fenómeno respalda los principios que Marx advirtió en la lógica del capitalismo hace casi dos siglos.
La relación inversa entre salarios y capital
El capitalista quiere vender sus productos obteniendo la mayor ganancia posible, pero debe hacerlo en competencia con otros capitalistas. Busca reducir constantemente el costo de su producción mediante el desarrollo de nuevas tecnologías, lo que excluye a sus competidores del mercado. Una mayor eficiencia provista por el avance tecnológico podría parecer a priori un alivio para los trabajadores, pero en realidad produce el efecto contrario. Dado que una máquina permite que un solo trabajador haga tareas para las que previamente se habrían necesitado varios, reduce el número de empleos. El ejército de reserva laboral resultante provoca el aumento de la competencia en el mercado laboral, y, por ende, la caída de los salarios. Los pocos puestos disponibles son simples tareas domésticas de una nueva y más sofisticada división del trabajo. Estas tareas requieren pocas habilidades, y resultan en salarios más bajos.
Debido a que la automatización ha eliminado los trabajos administrativos básicos a los que aspiraban los recién recibidos de la generación Z, los estratos más bajos de la escala laboral han desaparecido. Esto ha resultado en la expansión del ejército de reserva laboral, que ahora incluye a los jóvenes universitarios de clase media. Incluso los jóvenes adultos con estudios en campos relativamente lucrativos se encuentran subempleados, incluyendo el 16,5% de los que trabajan en informática e ingeniería química (3). (Si solo estudiaste humanidades, olvídate). Algunos incluso recurren a ocupaciones poco calificadas y mal remuneradas en comercio minorista y restaurantes de comida rápida, alejados de su área de estudio.
La educación universitaria solía ser una credencial importante que te encaminaba a ser un trabajador administrativo bien remunerado. Ahora cada vez más empleadores desestiman los títulos, ya que cualquiera que sepa usar Gemini puede hacer lo mismo que otro empleado al que le llevó cuatro años de informática aprender esa tarea. Incluso la esperanza de que la programación de IA se convierta en un mercado lucrativo es errónea, ya que la IA podría eventualmente autoinventarse y ser completamente autónoma (4). Si eso sucede, sin duda se producirá una crisis económica de proporciones sin precedentes.
Lo que observamos respalda la predicción de Marx de que la expansión del capital provocaría el reclutamiento del proletariado por parte de las clases altas de la sociedad; Los hijos de la pequeña burguesía (dueños de PYMES, comerciantes, médicos, abogados, etc.) no podrían competir con el «gran capital» y se unirían a las filas del proletariado. A medida que el capital crece “el bosque de brazos que se extienden y piden trabajo es cada vez más espeso, al paso que los brazos mismos que lo forman son cada vez más flacos.” (5)
La tendencia decreciente de la tasa de ganancia
El fenómeno de la IA eliminando empleos refleja la lógica interna de expansión del capital mediante la inversión en automatización en lugar de mano de obra. Como he señalado, los capitalistas actúan de esta manera para reducir sus costos de producción y maximizar las ganancias. Sin embargo, Marx argumenta en el vol. 3 de “El capital” que esta dinámica conduce a una rentabilidad decreciente y a crisis periódicas en el largo plazo, ya que socava la fuente del valor en la sociedad capitalista: la fuerza de trabajo.
Para entender lo que significa esto, tenemos que echarle un vistazo a la economía política marxista.
Cuando un capitalista introduce una máquina que reduce el costo de producir un kilo de lino de $1 a $0,5, mientras su competidor aún lo produce al mismo costo, se ve incentivado a vender a un precio inferior al precio de mercado, por ejemplo, vendiendo ese kilo de lino $0,90 cuando la competencia lo vende a $1. De esta forma elimina del mercado a sus competidores y el aún mantiene buenos márgenes. Hasta acá nada sorprendente, sigamos.
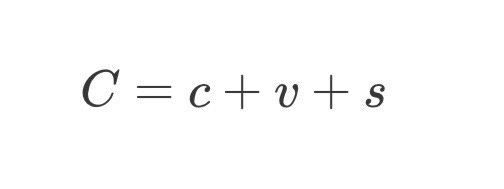
El precio de cualquier producto se divide en tres componentes:

Donde “C” es el precio de una mercancía, “c” es la cantidad para remplazar el capital constante (maquinaria, materias primas, etc.), “v” es la cantidad para remplazar el capital variable (salarios), y “s” es el plusvalor (la ganancia del capitalista). En el ejemplo del lino, digamos que el valor de la maquinaria es c=$0,30 y el valor de la fuerza de trabajo es v=$0,20. Así es como obtenemos el costo de producción de $0,50. Esto deja s=$0,40 para el capitalista. Según la teoría del valor trabajo, el capital variable (es decir, el trabajador vivo que trabaja y entrega su vida a la maquinaria produce la totalidad de ese plusvalor, mientras que el capital constante transfiere valor, mas no lo produce, ya que es «trabajo muerto» (porque es simple maquinaria, producto de un trabajo que ya fue hecho). Para asegurarse que el capitalista obtenga una ganancia, el trabajador nunca recibe en salario el valor total de su producción. Por tanto, se considera explotado. Su tasa de explotación se mide por la relación entre “s” y “v”.
Tengan en cuenta que es irrelevante que el producto sea un bien (objeto físico) o un servicio. Todo lo anterior aplica igualmente para los trabajadores de las fábricas de lino que fueron remplazados por el telar como a la generación Z que está siendo reemplazada por la IA. El producto del trabajo pueden ser mails enviados, citaciones acordadas, horas de docencia, líneas de código, clientes atendidos, etc.
Para vencer a la competencia, los capitalistas se esfuerzan por emplear tecnología mas eficiente, tener menos trabajadores y vender productos a precios más bajos. Eso es lo que estamos viendo. La burbuja de la IA alimenta esta frenética carrera hacia el abismo. La ventaja de mercado que cualquier empleador podría haber obtenido al adoptar la automatización fue efímera, ya que los competidores inevitablemente adoptarán el nuevo método de producción, cualquiera sea, para evitar la quiebra. La decisión de los empleadores de reducir los puestos sub calificados en favor de la IA puede entenderse como una creciente inversión en capital constante (que no produce más valor) en relación con el capital variable (que crea plusvalía). Este es un proceso capitalista común, que Marx llamó el crecimiento de la composición orgánica del capital (es decir, la relación creciente entre c y v). Argumentó que estaba inevitablemente «cargado de crisis». Si la tasa de ganancia es:

Entonces, trasladar la inversión a “c” mientras se las retira de “v” provoca la tendencia decreciente de la tasa de ganancia. La contradicción inmanente del capitalismo es su impulso a corto plazo de subsumir el trabajo vivo en trabajo muerto, a pesar de depender, a largo plazo, del trabajo vivo para la producción de plusvalía. El capitalista hace un pacto fáustico para obtener ganancias temporales. Por eso el capitalismo tiene crisis periódicas y parece que nos acercamos a otra en la era de la IA.
Los empleadores han intentado contrarrestar la tendencia a la baja de la tasa de ganancia mediante diversas medidas para maximizar la explotación del excedente de mano de obra de los trabajadores de la generación Z, como prolongar o intensificar la jornada laboral por el mismo salario. Esto explica la percepción de estos de estar más sobrecargados que sus antecesores (6). A medida que la tasa de ganancia disminuye, aumenta la percepción de alienación y agotamiento, añadido a una mayor presión y un mayor abuso por parte de los superiores.
Automatización total, el fin de la creación de valor, y el colapso
El límite teórico del aumento de la composición orgánica del capital es la automatización total. Olvídense de los puestos administrativos de bajo rango. Todos los empleos podrían ser eventualmente reemplazados. A medida que la IA se vuelve más inteligente, podría asumir puestos corporativos y legales de alto nivel, por no hablar del comercio minorista, los trabajos manuales, la docencia y otros puestos (lo cual ya ha ocurrido masivamente, provocando la ansiedad económica que hemos visto expresada de parte de los votantes de cuello azul de ambos partidos en las últimas elecciones).
¿Qué pasa si la economía se automatiza de forma total? ¿Qué pasa si v llega a 0? Marx realizó este experimento mental en el “fragmento sobre las máquinas” de los Grundrisse. Escribe sobre “las fuerzas productivas generales del cerebro social”, sobre “la maquinaria viva (activa), que se enfrenta a las insignificantes acciones individuales [del trabajador] como un organismo poderoso” (7). Algunos teóricos del postrabajo han interpretado el fragmento de Marx como el presagio de una utopía del ocio totalmente automatizada. Los creadores del aceleracionismo de izquierda, Nick Srnicek y Alex William, presentaron esta interpretación en su libro de 2015 inventando el futuro: poscapitalismo y un mundo sin trabajo.
Ciertamente, la automatización total bajo el capitalismo requeriría su colapso espontáneo; bajo el capitalismo, solo la fuerza de trabajo puede crear plusvalía. Incluso si concediéramos a la IA cierta capacidad mística para generar plusvalía, los capitalistas no podrían vender sus mercancías porque todos estarían desempleados y empobrecidos. Este es el escenario extremo que los economistas llaman “crisis de realización”. Sin un mercado que se realice, la plusvalía quedaría inactiva y se desvanecería.
Pero hay razones para dudar de que la automatización total pueda ocurrir alguna vez mientras persistan las relaciones capitalistas de producción. Los capitalistas han evitado este escenario, para bien o para mal, desde la Revolución Industrial. Los avances tecnológicos crearon nuevos empleos para reemplazar los obsoletos y algunos más (8). No creo que la locura de la IA sea una excepción a esta regla. Incluso ignorando el problema de la insostenibilidad energética y el hecho de que la IA es una burbuja, el capital y el trabajo asalariado se presuponen mutuamente. El capital nunca renunciaría voluntariamente a la condición necesaria para su existencia continua. Si la IA elimina empleos, el capital se verá obligado a crear nuevos empleos, empleos de mierda si es necesario (9). Incluso Marx admitió que el aumento de la composición orgánica del capital a menudo ocurre en tándem con un aumento en el valor absoluto del capital variable. En otras palabras, los salarios nominales podrían aumentar y más personas podrían ser empleadas mientras que los salarios relaticos, es decir, la proporción de la participación de la clase trabajadora en las ganancias disminuye.
Aunque suene paradójico el desempleo y la proletarización ocurren juntos como parte del mismo proceso dialéctico (10). La toma de control de la maquinaria, el crecimiento natural de la población, y la ampliación del ejército de reserva laboral para incluir a la pequeña burguesía con educación universitaria contribuyen a un mayor desempleo; pero al mismo tiempo que la creciente inversión en capital constante reduce los empleos, los sectores existentes o de reciente creación absorberán a los recién incorporados. Vemos esto en el aumento de la tasa de la generación Z que se dedica a oficios o simplemente se conforma con el subempleo (11). Dicho esto, el desempleo de la generación Z continuará debido al desajuste entre las expectativas profesionales de clase de la joven pequeña burguesía y la realidad material actual. Seguiremos siendo forraje para el ejercito de reserva de mano de obra.
El aumento del desempleo en la generación Z es solo el comienzo de una tendencia que eventualmente afectará a todos los niveles laborales y generacionales. La IA tiene el potencial de impulsar la causa de la liberación humana; las aspiraciones utópicas de los teóricos del postrabajo no carecen de fundamento. Pero mientras persistan las relaciones de producciones capitalistas, las fuerzas productivas de la IA no tendrán la capacidad de automatizar todo el empleo, ni se desarrollarán sin causar daños y tensiones ambientales indebidas. Sigue siendo, como lo ha sido durante dos siglos, responsabilidad de la clase trabajadora aprovechar la vasta gama de fuerzas productivas y dirigirlas de forma sostenible para el bien de la humanidad.
Eric Huang es un estudiante de filosofía recién graduado del College of William & Mary, Virginia, EE. UU. Escribe sobre filosofía, economía política y teoría crítica en su Substack, "De-Alienation" https://substack.com/@raginbakin.
